新闻中心展开

通知公告

当前位置: 首页 -> 新闻中心 -> 通知公告 -> 正文

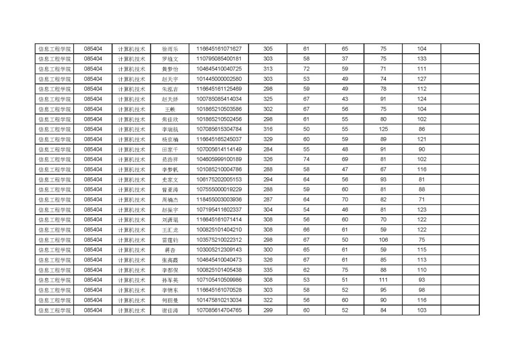
太阳成tyc234cc2025年研招考试调剂考生复试名单

作者:刘汉烨 编辑:杨斐 审核:张峰 信息来源:研究生教育办公室 发布日期:2025-04-09 点击量:

各位考生:

根据上级教育主管部门以及学校有关文件规定,经学院研究生招生工作领导小组研究决定,现将我院审核通过的2025年研招考试调剂考生复试名单公布如下:

 

Baidu
sogou